
『창녕금석문(昌寧金石文)』은 1998년 12월에 창녕문화원에서 발행하고 대보사가 인쇄해 발간한 책이다. 발간에 도움을 준 이들은 창녕문화원 향토사연구소 위원들로 20명의 명단이 말미에 실렸다.
권두에 김진백(金鎭伯) 군수가 서문을 쓰고 김동주(金東朱) 문화원장의 발간사를 붙였으며, 범례와 사진 목차를 붙인 후, 창녕신라진흥왕척경비(昌寧新羅眞興王拓境碑)와 탁본과 비문을 실었고, 창녕탑금당치성문기비(昌寧塔金堂治成文記碑)의 사진을 실었다.
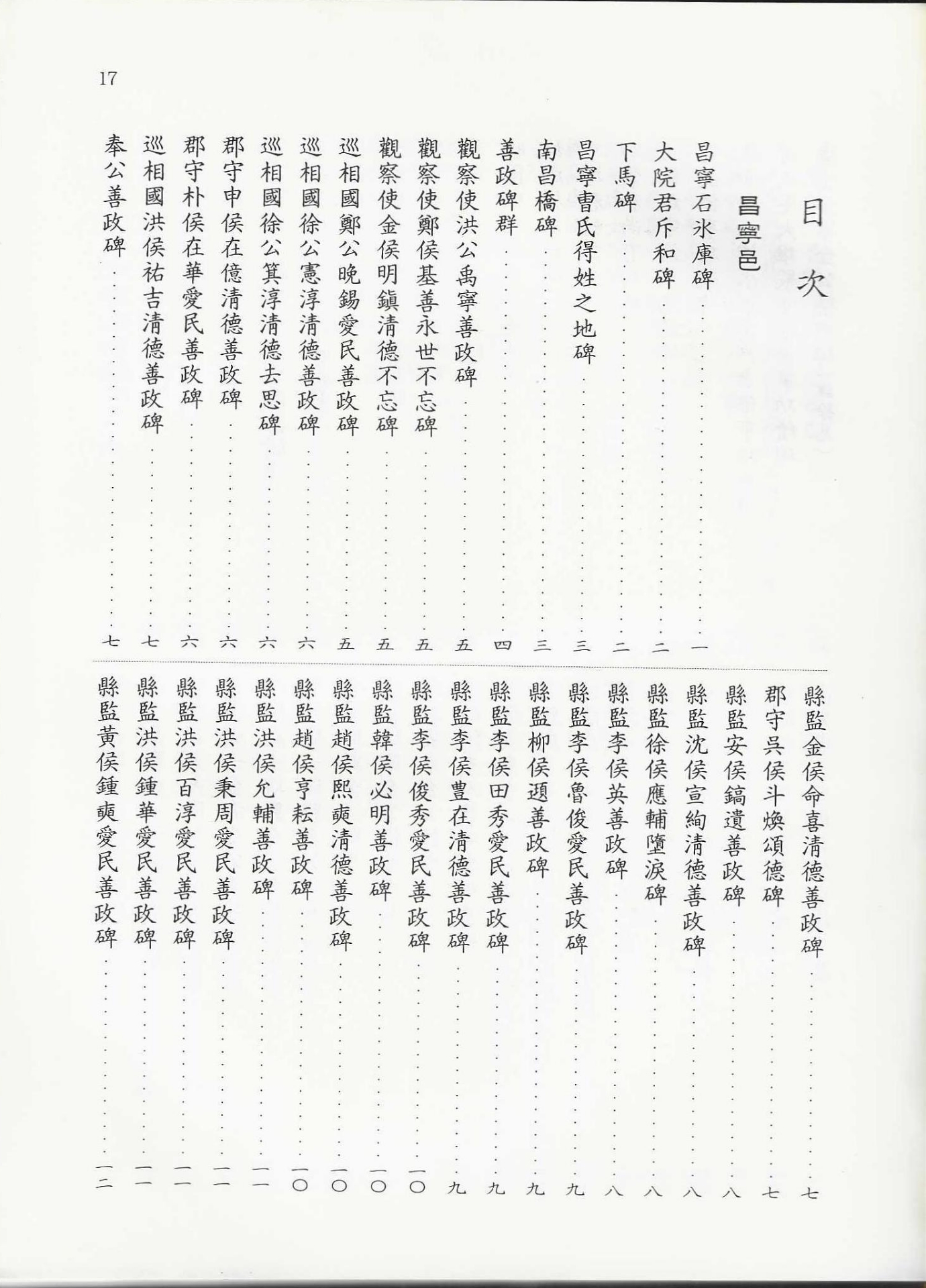
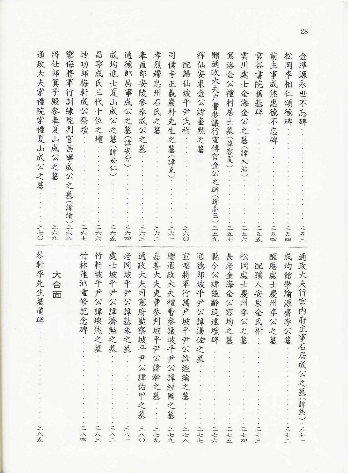
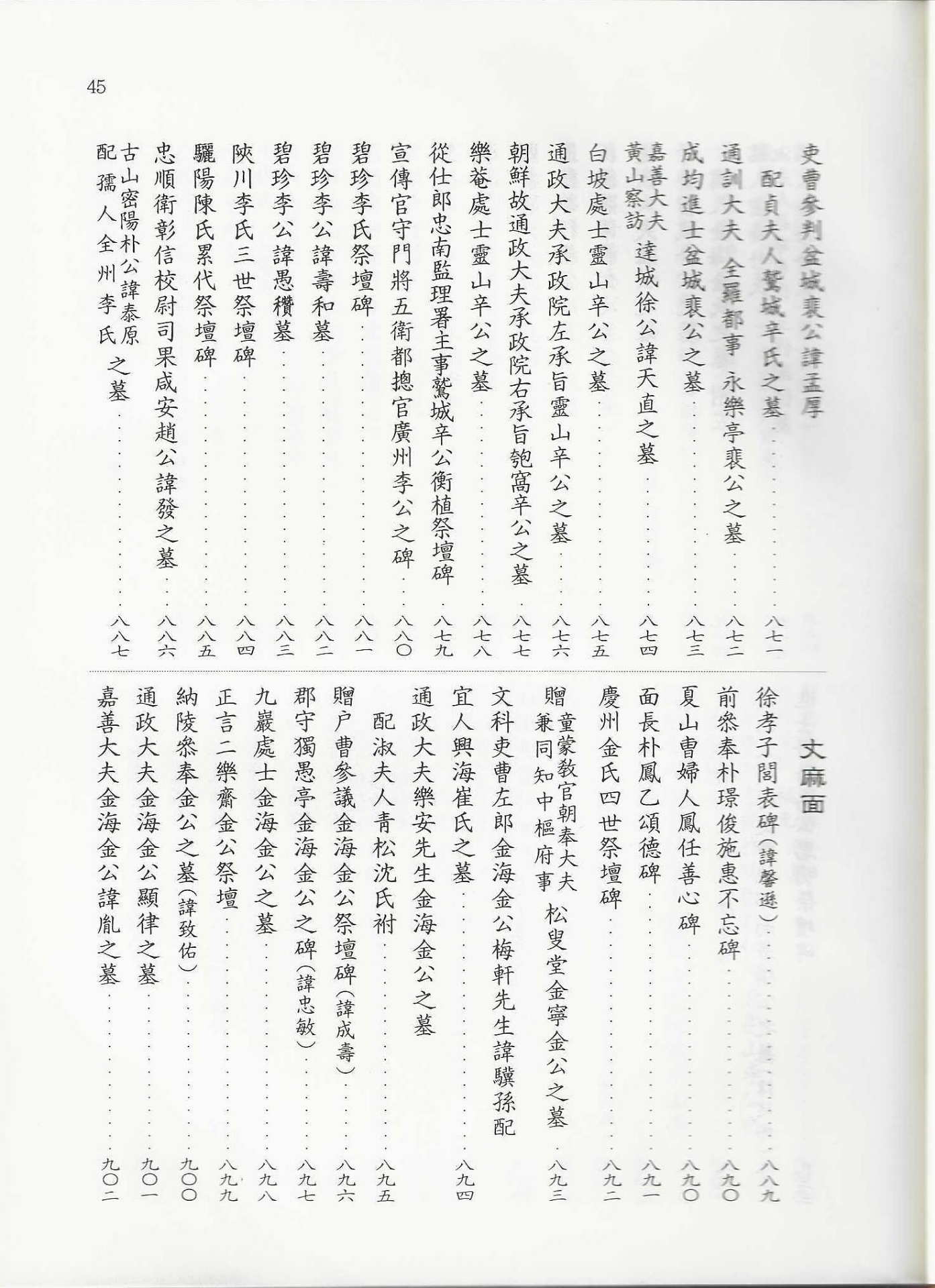
이후 목차를 붙였는데 창녕읍, 남지읍, 고암면, 성산면, 대곡면, 이방면, 유어면, 대지면, 계성면, 장마면, 영산면, 도천면, 길곡면, 부곡면, 순으로 창녕에 산재한 금석문들을 실었다.
『창녕금석문(昌寧金石文)』은 양장본으로 크기는 가로 19.5cm, 세로 26.4cm이고, 1119p이며, 세로글씨로 된 한문본이다.
이 책의 소장은 정확한 기억은 하지 못하고 추증컨대 창녕에 계신 김양수 위원이 구해주었을 것으로 생각한다. 아니면 삼만원에 합동북에서 구입했을 것이다.





















'일상의 기록들 > 책과 기록' 카테고리의 다른 글
| 함양금석문총람(咸陽金石文總覽) (0) | 2025.11.18 |
|---|---|
| 김해금석문총람(金海金石文總覽) (0) | 2025.11.17 |
| 진주금석문총람 晉州金石文總覽 (0) | 2025.11.15 |
| 鳳岡集 국역 봉강 조선생 문집 (0) | 2025.11.14 |
| 한국의 잠자리·메뚜기·사마귀·대벌레 (0) | 2025.10.18 |